Free Access

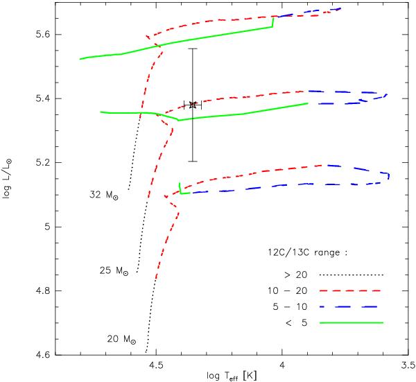
Fig. 4

thumbnail

HR diagram showing the position of the primary component of GG Car with respect to new evolutionary tracks of Ekström et al. (2012) for stars at solar metallicity rotating initially with νinicrit = 0.4. The enrichment in 13C over the course of stellar evolution is indicated.

Current usage metrics show cumulative count of Article Views (full-text article views including HTML views, PDF and ePub downloads, according to the available data) and Abstracts Views on Vision4Press platform.

Data correspond to usage on the plateform after 2015. The current usage metrics is available 48-96 hours after online publication and is updated daily on week days.

Initial download of the metrics may take a while.