Free Access

Fig. 3

thumbnail

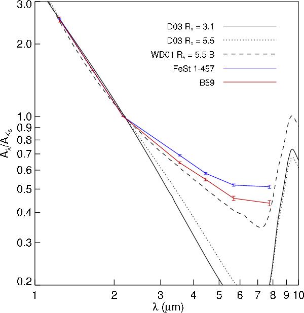
Extinction law for FeSt (blue line) and B59 (red line). Also shown are the Draine (2003a,b) models for RV = 3.1 (solid line) and RV = 5.5 (dotted line), and the Weingartner & Draine (2001) models for RV = 5.5, case B (dashed line).

Current usage metrics show cumulative count of Article Views (full-text article views including HTML views, PDF and ePub downloads, according to the available data) and Abstracts Views on Vision4Press platform.

Data correspond to usage on the plateform after 2015. The current usage metrics is available 48-96 hours after online publication and is updated daily on week days.

Initial download of the metrics may take a while.