Highlight
Free Access

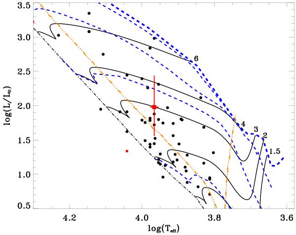
Fig. 5

thumbnail

Magnetic (red squares) and non-magnetic (black points) Herbig Ae/Be stars plotted in a Hertzsprung-Russell diagram. The red square with error bars corresponds to HD 190 073. The CESAM pre-MS evolutionary tracks for 1.5, 2, 3, 4, and 6 M (black full lines), 0.01, 0.1, 1 and 10 Myr isochrones (blue thin dashed lines), and the zero-age main-sequence (black dot-dashed line) are also plotted. The birthline taken from Behrend & Maeder (2001) is plotted with a blue thick dashed line. The limit over which the convective envelope is smaller than 1% of the stellar mass, and the CC-birthline (see text) are overplotted with orange dot-dot-dot-dashed lines.

Current usage metrics show cumulative count of Article Views (full-text article views including HTML views, PDF and ePub downloads, according to the available data) and Abstracts Views on Vision4Press platform.

Data correspond to usage on the plateform after 2015. The current usage metrics is available 48-96 hours after online publication and is updated daily on week days.

Initial download of the metrics may take a while.