Free Access

Fig. 16

thumbnail

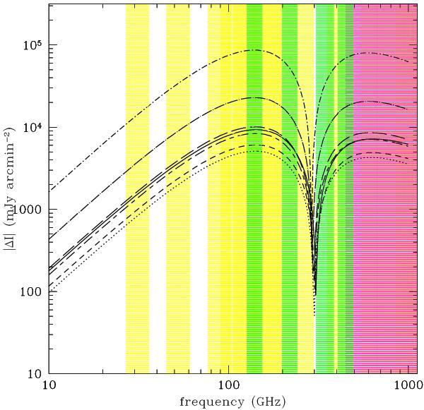
Superposition of the SZE spectrum for the seven objects we consider in our detailed analysis of the non-thermal SZE from RG lobes: 3C 292 (solid), 3C 294 (dots), 3C 274.1 (short dashes), 7C 1602+3739 (long dashes), 87GB 121815+635745 (dot-dashes), B2 1358+30C (dot-long dashes), and Hercules A (short-long dashes). The frequency coverage of Planck (yellow), OLIMPO (green), and Herschel-SPIRE (magenta) are also shown for comparison.

Current usage metrics show cumulative count of Article Views (full-text article views including HTML views, PDF and ePub downloads, according to the available data) and Abstracts Views on Vision4Press platform.

Data correspond to usage on the plateform after 2015. The current usage metrics is available 48-96 hours after online publication and is updated daily on week days.

Initial download of the metrics may take a while.