Free Access

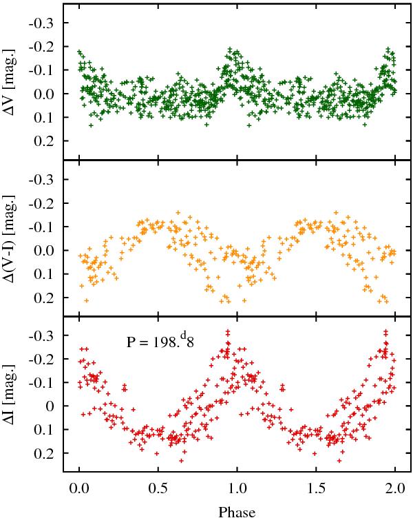
Fig. 6

thumbnail

ASAS-3 V-band (top), V − I (middle), and I-band (bottom) light curves outside of the eclipse, phased with period . The small amplitude of the observed V variation and its strongly non-sinusoidal shape with a wide minimum are related to the presence in the system of the second component which strongly dominates in this wavelength range (see Sect. 3.7).

Current usage metrics show cumulative count of Article Views (full-text article views including HTML views, PDF and ePub downloads, according to the available data) and Abstracts Views on Vision4Press platform.

Data correspond to usage on the plateform after 2015. The current usage metrics is available 48-96 hours after online publication and is updated daily on week days.

Initial download of the metrics may take a while.