Free Access

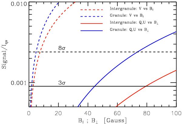
Fig. 3

thumbnail

Amount of circular polarization (normalized to the quiet-Sun continuum intensity) generated as a function of the component of the magnetic field vector that is parallel to the observer’s line-of-sight: B (dashed lines). Amount of linear polarization (normalized to the quiet-Sun continuum intensity) signals generated as a function of the component of the magnetic field vector that is perpendicular to the observer’s line-of-sight: B (solid lines). These curves were obtained by performing a synthesis of the Stokes profiles employing different values of B and B and using two different atmospheric semi-empirical models: red for intergranules and blue for granules. The horizontal black lines indicate the 3σ and 8σ levels assuming a noise of σ = 3 × 10-4 as in our observed maps (Sect. 2).

Current usage metrics show cumulative count of Article Views (full-text article views including HTML views, PDF and ePub downloads, according to the available data) and Abstracts Views on Vision4Press platform.

Data correspond to usage on the plateform after 2015. The current usage metrics is available 48-96 hours after online publication and is updated daily on week days.

Initial download of the metrics may take a while.