Free Access

Fig. 4

thumbnail

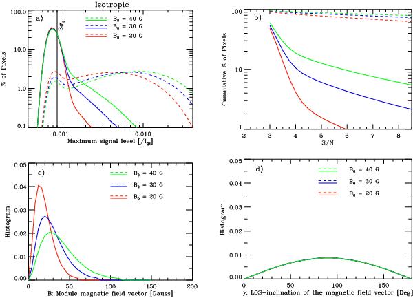
Panel a) histogram of the number of pixels with a given maximum value in their polarization signals (normalized to the average continuum intensity in the quiet Sun). The vertical solid-black line corresponds to the 3σ-level. Panel b) histogram of pixels with polarization signals above a certain S/N. This last histogram is cumulative, but the first one is not. The solid and dashed lines refer to the linear and circular polarization profiles, respectively. These two panels can be readily compared to the observed histograms in Fig. 2. They were obtained employing an isotropic distribution function for the magnetic field vector (Eq. (13)) with three different mean values for the magnetic field strength B0: 20 (red), 30 (blue), and 40 (green) Gauss. The module of the magnetic field vector B and the inclination of this vector with respect to the observer’s line-of-sight γ arising from these isotropic distributions are presented in panels c) and d).

Current usage metrics show cumulative count of Article Views (full-text article views including HTML views, PDF and ePub downloads, according to the available data) and Abstracts Views on Vision4Press platform.

Data correspond to usage on the plateform after 2015. The current usage metrics is available 48-96 hours after online publication and is updated daily on week days.

Initial download of the metrics may take a while.