Free Access

Fig. 7

thumbnail

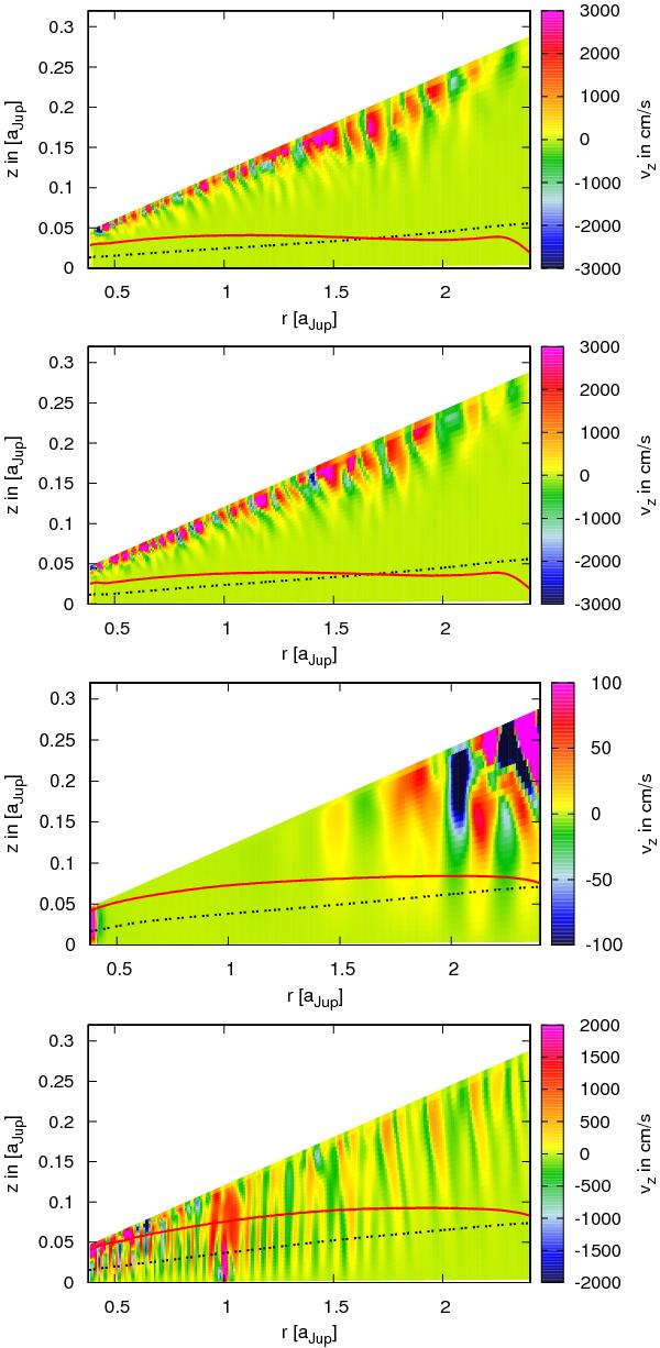
Velocities in z-direction for disks with α = 0.001 and O:P(3:1) (top), α = 0.001 and O:P(equi) (2nd from top), α = 0.004 and O:P(equi) (3rd from top), and a fixed γ = 1.1 with constant viscosity (bottom). The black line indicates H(r) in the disk and the red line delineates τ = 1.0 (the optical depth integrated from the top of the grid toward the midplane of the disk). Please note the different color scales and that they only show a subset of the range of values to better highlight the internal structure.

This figure is made of several images, please see below:

Current usage metrics show cumulative count of Article Views (full-text article views including HTML views, PDF and ePub downloads, according to the available data) and Abstracts Views on Vision4Press platform.

Data correspond to usage on the plateform after 2015. The current usage metrics is available 48-96 hours after online publication and is updated daily on week days.

Initial download of the metrics may take a while.