Free Access

Fig.C.1

thumbnail

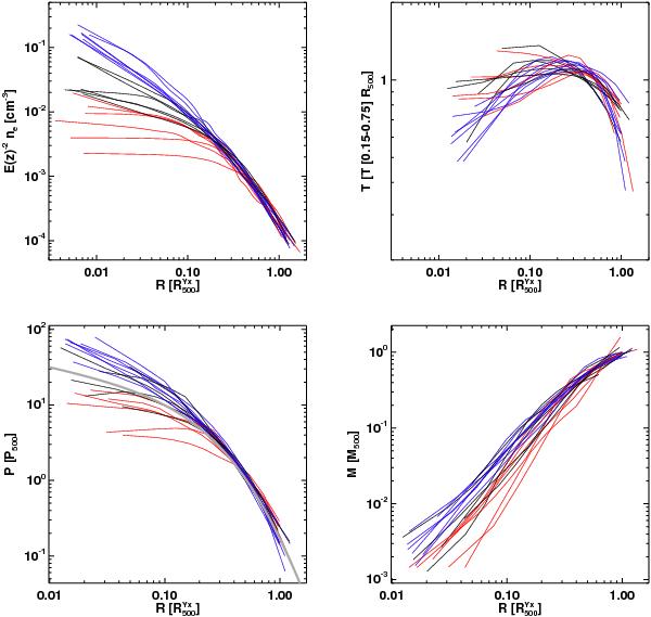
X-ray profiles scaled by R500 from the M500 − YX,500 relation of Arnaud et al. (2010). From left to right, top to bottom: gas density, gas temperature, gas pressure, integrated mass. Cool core systems are plotted in blue, morphologically disturbed objects in red, and intermediate systems in black. The grey line in the pressure plot is the universal pressure profile of Arnaud et al. (2010).

This figure is made of several images, please see below:

Current usage metrics show cumulative count of Article Views (full-text article views including HTML views, PDF and ePub downloads, according to the available data) and Abstracts Views on Vision4Press platform.

Data correspond to usage on the plateform after 2015. The current usage metrics is available 48-96 hours after online publication and is updated daily on week days.

Initial download of the metrics may take a while.