Free Access

Fig. 7

thumbnail

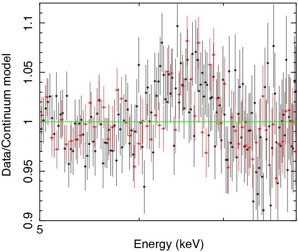
Ratio of the data to the best-fit continuum model for XMM/EPIC-pn (black) and BeppoSAX/MECS (red) in the hard state, in the energy range 5−8 keV. The broad iron line is visible in both spectra, but is not as well defined as in the soft state (see Fig. 5). The continuum is described by phabs (bbody + compTT).

Current usage metrics show cumulative count of Article Views (full-text article views including HTML views, PDF and ePub downloads, according to the available data) and Abstracts Views on Vision4Press platform.

Data correspond to usage on the plateform after 2015. The current usage metrics is available 48-96 hours after online publication and is updated daily on week days.

Initial download of the metrics may take a while.