Free Access

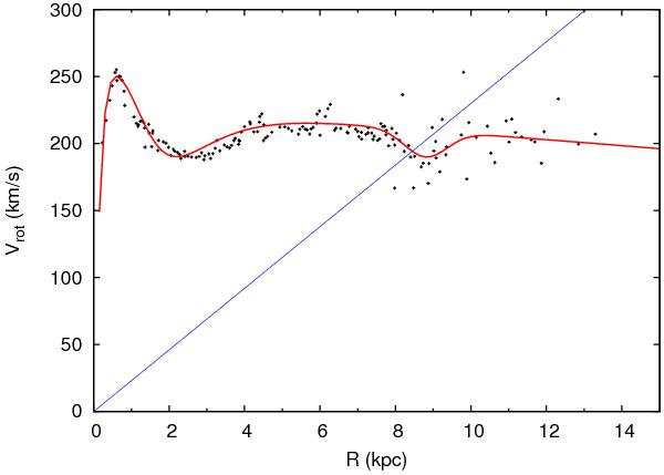
Fig. 5

thumbnail

Rotation curve of the Galaxy. The red line is the rotation curve fitted using Clemens’ data (black dots), and the blue line is the pattern speed Ωp × R corresponding to an angular velocity Ωp = 23 km s-1 kpc-1. The corotation radius is at 8.4 kpc. We adopted R0 = 7.5 kpc and V0 = 210 km s-1.

Current usage metrics show cumulative count of Article Views (full-text article views including HTML views, PDF and ePub downloads, according to the available data) and Abstracts Views on Vision4Press platform.

Data correspond to usage on the plateform after 2015. The current usage metrics is available 48-96 hours after online publication and is updated daily on week days.

Initial download of the metrics may take a while.