Free Access

Fig. C.1

thumbnail

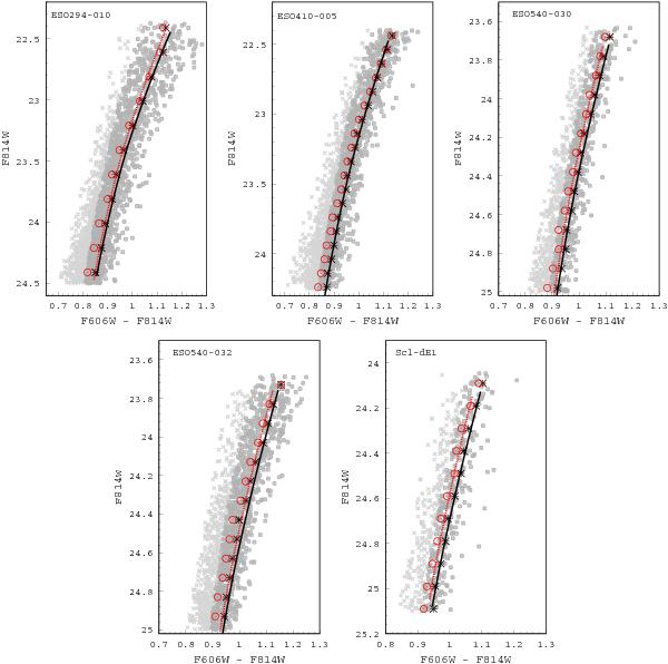
RGB stars shown in the lightest gray cross symbols, as well as those RGB stars that were selected for the MDFs, shown with the darker gray circled-cross symbols. The fiducial derived using all the RGB stars, RGBALL, is outlined with the red open circles, while the fiducial derived using those RGB stars that were selected to construct the MDFs, RGBMDF, is outlined with the black asterisks. The red dotted line corresponds to the Dartmouth 12.5 Gyr isochrone that best matches the RGBMDF fiducial, while the black solid line corresponds to the one that best matches the RGBMDF fiducial. From left to right and from top to bottom panels, the red dotted lines correspond to a metallicity of −1.55 dex, −1.75 dex, −1.85 dex, −1.65 dex, and −1.9 dex, respectively, while the black solid lines to a metallicity of −1.65 dex, −1.75 dex, −2 dex, −1.75 dex, and −2.1 dex, respectively.

Current usage metrics show cumulative count of Article Views (full-text article views including HTML views, PDF and ePub downloads, according to the available data) and Abstracts Views on Vision4Press platform.

Data correspond to usage on the plateform after 2015. The current usage metrics is available 48-96 hours after online publication and is updated daily on week days.

Initial download of the metrics may take a while.