Free Access

Fig. 1

thumbnail

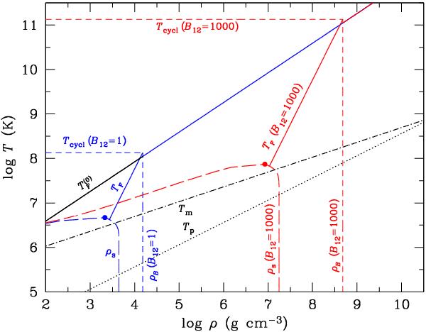
Characteristic density-temperature domains at B = 1012 G (blue online) and 1015 G (red online) for fully-ionized iron. Solid lines indicate the Fermi temperature as function of density, the dotted line shows the plasma temperature, the dot-dashed line shows the melting temperature as function of density, short and long dashes delimit the domains of strongly quantizing magnetic field and of magnetic condensation, respectively, and the heavy dots mark the critical point for the condensation (Sect. 7.3).

Current usage metrics show cumulative count of Article Views (full-text article views including HTML views, PDF and ePub downloads, according to the available data) and Abstracts Views on Vision4Press platform.

Data correspond to usage on the plateform after 2015. The current usage metrics is available 48-96 hours after online publication and is updated daily on week days.

Initial download of the metrics may take a while.