Free Access

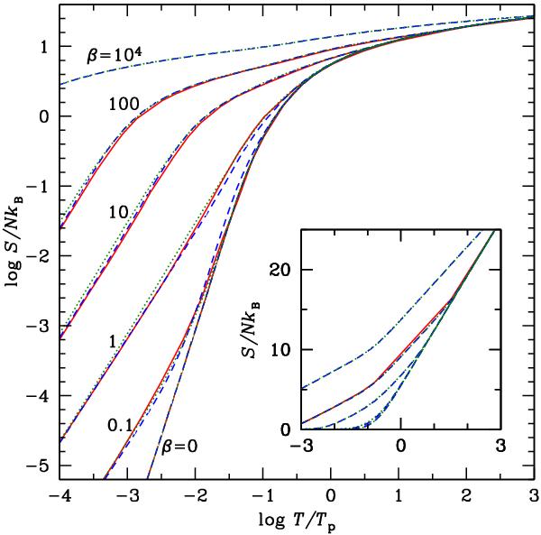
Fig. 3

thumbnail

Thermal phonon contribution to the reduced entropy sth = Sth/NikBT as a function of log    (T/Tp) at β = ħωci/kBTp = 0, 0.1, 1, 10, 100, and 104 (numbers near the lines). The analytical approximations in Eq. (77) (dotted lines) and in Eq. (79) (dashed lines) are compared with the numerical results of Baiko (2009) (solid lines for ). The inset shows the same approximations in the linear scale for sth; here, the solid line corresponds to the numerical data at β = 100.

Current usage metrics show cumulative count of Article Views (full-text article views including HTML views, PDF and ePub downloads, according to the available data) and Abstracts Views on Vision4Press platform.

Data correspond to usage on the plateform after 2015. The current usage metrics is available 48-96 hours after online publication and is updated daily on week days.

Initial download of the metrics may take a while.