Free Access

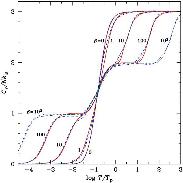
Fig. 4

thumbnail

Thermal phonon contribution to the reduced heat capacity CV,lat/NikBT as a function of log (T/Tp) at β = ħωci/kBTp = 0, 1, 10, 100, and 103 (numbers near the lines). The analytical approximation in Eq. (80) (short-dashed lines) is compared with the numerical results of Baiko (2009) (solid lines for β = 0, 1, 10, and 100). The dotted lines correspond to the first term on the r.h.s. of Eq. (80).

Current usage metrics show cumulative count of Article Views (full-text article views including HTML views, PDF and ePub downloads, according to the available data) and Abstracts Views on Vision4Press platform.

Data correspond to usage on the plateform after 2015. The current usage metrics is available 48-96 hours after online publication and is updated daily on week days.

Initial download of the metrics may take a while.