Free Access

Fig. 1

thumbnail

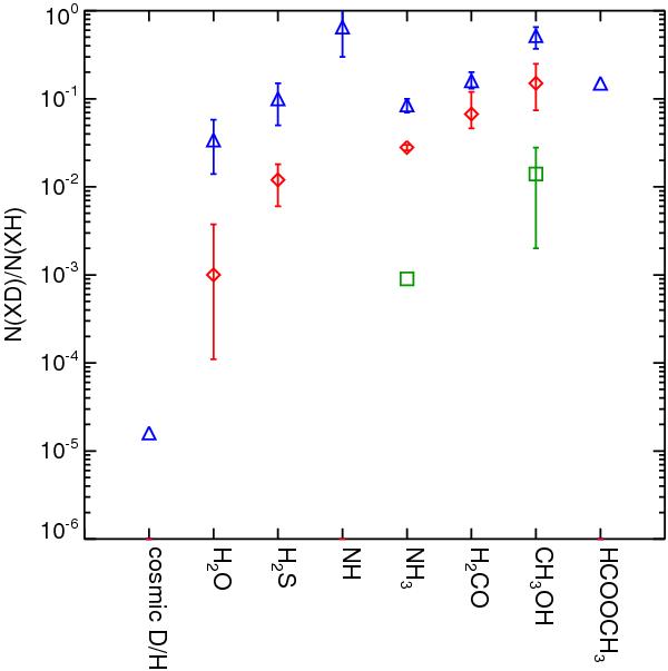
Deuterium fractionation of several molecules assumed to be partly (or mainly) formed on interstellar grain surfaces and observed around low-mass Class 0 protostars. Blue triangles: simple deuteration; red diamonds: double deuteration; green squares: triple deuteration. References: Cosmic D/H: Linsky (2003). H2O: HDO/H2O by Coutens et al. (2012), D2O/H2O by Vastel et al. (2010) towards IRAS 16293. H2S: HDS/H2S by van Dishoeck et al. (1995) towards IRAS 16293, D2S/H2S by Vastel et al. (2003) towards IRAS 4A. NH: ND/NH by Bacmann et al. (2010) towards IRAS 16293. NH3: NH2D/NH3 by van Dishoeck et al. (1995) towards IRAS 16293; NHD2/NH3 by Loinard et al. (2001) towards IRAS 16293, and ND3/NH3 by van der Tak et al. (2002) towards IRAS 4A. H2CO: HDCO/H2CO by van Dishoeck et al. (1995) towards IRAS 16293 and by Parise et al. (2006) towards seven low-mass protostars; D2CO/H2CO by Ceccarelli et al. (1998) and Ceccarelli et al. (2001) towards IRAS 16293 and by Parise et al. (2006) and Roberts & Millar (2007) towards a sample of low-mass protostars. CH3OH: CH2DOH/CH3OH and CHD2OH/CH3OH by Parise et al. (2006) towards seven low-mass protostars, CD3OH/CH3OH by Parise et al. (2004) towards IRAS 16293. HCOOCH3: DCOOCH3/HCOOCH3 by Demyk et al. (2010) towards IRAS 16293.

Current usage metrics show cumulative count of Article Views (full-text article views including HTML views, PDF and ePub downloads, according to the available data) and Abstracts Views on Vision4Press platform.

Data correspond to usage on the plateform after 2015. The current usage metrics is available 48-96 hours after online publication and is updated daily on week days.

Initial download of the metrics may take a while.