Free Access

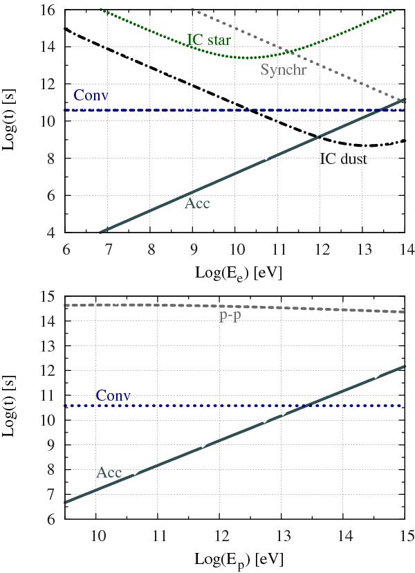
Fig. 2

thumbnail

Acceleration and cooling time scales for electrons and protons for HD 195592. The upper panel is for electrons and the lower panel is for protons.

This figure is made of several images, please see below:

Current usage metrics show cumulative count of Article Views (full-text article views including HTML views, PDF and ePub downloads, according to the available data) and Abstracts Views on Vision4Press platform.

Data correspond to usage on the plateform after 2015. The current usage metrics is available 48-96 hours after online publication and is updated daily on week days.

Initial download of the metrics may take a while.