Free Access

Fig. 4

thumbnail

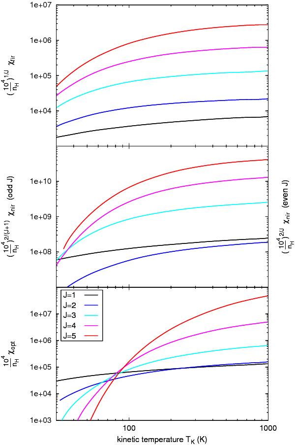
Far-infrared (top), near-infrared (middle), and optical (bottom) radiation fields (in units of the local ISRF) at which the pure rotational levels of CH+ are equally populated by collisions and radiative pumping, depending on the kinetic temperature and the density of the gas. Below these curves, excitations are primarily driven by reactive collisions and chemical pumping. Above these curves, excitations are primarily driven by direct radiative pumping (top) and by the radiative pumping of the vibrational levels of the X1Σ+ state (middle) and of the A1Π electronic state (bottom).

Current usage metrics show cumulative count of Article Views (full-text article views including HTML views, PDF and ePub downloads, according to the available data) and Abstracts Views on Vision4Press platform.

Data correspond to usage on the plateform after 2015. The current usage metrics is available 48-96 hours after online publication and is updated daily on week days.

Initial download of the metrics may take a while.