Free Access

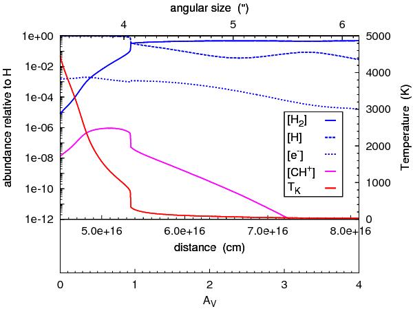
Fig. 6

thumbnail

Kinetic temperature and abundances relative to H of H2, H, e, and CH+ computed with the Meudon PDR code as functions of the extinction (bottom axis) across the PDR region of NGC 7027 starting from the ionization front. The distance and the angle from the central star are indicated along the middle and top axes.

Current usage metrics show cumulative count of Article Views (full-text article views including HTML views, PDF and ePub downloads, according to the available data) and Abstracts Views on Vision4Press platform.

Data correspond to usage on the plateform after 2015. The current usage metrics is available 48-96 hours after online publication and is updated daily on week days.

Initial download of the metrics may take a while.