Free Access

Fig. 7

thumbnail

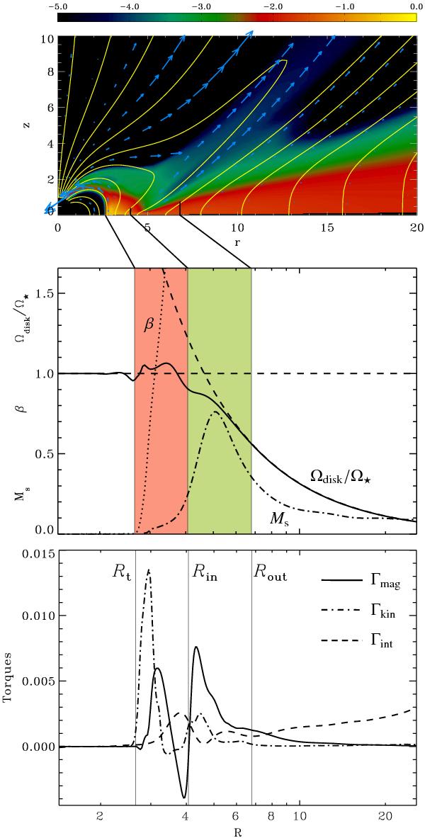
Upper panel. Logarithmic density map with sample field lines (yellow solid lines) and speed vectors (blue arrows) superimposed. Middle panel. Radial profiles at the disk midplane of the rotation speed of the accretion disk Ω/Ω (solid line), accretion sonic Mach number (dot-dashed line) and plasma β (dotted line). The Keplerian and the Ω = Ω rotation profiles are plotted with a dashed line. Lower panel. Radial profiles of the specific torques acting on the disk (see the text for definitions): magnetic (Γmag, solid line), internal (Γint, dashed line), and kinetic (Γkin, dot-dashed line) torques. In the three panels we marked with vertical lines the position of the truncation radius (Rt) and the anchoring radii at the disk surface of the outermost magnetic surface steadily connecting the star and the disk (Rin) and of the innermost open field line threading the disk (Rout). The panels represent temporal averages over 54 stellar rotation periods.

Current usage metrics show cumulative count of Article Views (full-text article views including HTML views, PDF and ePub downloads, according to the available data) and Abstracts Views on Vision4Press platform.

Data correspond to usage on the plateform after 2015. The current usage metrics is available 48-96 hours after online publication and is updated daily on week days.

Initial download of the metrics may take a while.