Free Access

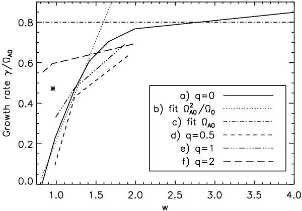
Fig. 4

thumbnail

Normalized growth rate γ of the m = 1 mode (energy of Br). a) The initial magnetic field is as in Eq. (6), n = 0,ΩA0 = 2 and the rotation Ω0 is varied as to change w = ΩA00. b) The dotted line is , c) the dot-dashed line γ = ΩA0.8, and d)f) show γ for various degrees of differential rotation. The asterisk denotes a case where the angular velocity was initially increasing outwards (see Sect. 3.2).

Current usage metrics show cumulative count of Article Views (full-text article views including HTML views, PDF and ePub downloads, according to the available data) and Abstracts Views on Vision4Press platform.

Data correspond to usage on the plateform after 2015. The current usage metrics is available 48-96 hours after online publication and is updated daily on week days.

Initial download of the metrics may take a while.