Free Access

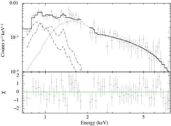
Fig. 7

thumbnail

Suzaku/XIS FI spectrum of the X-ray background obtained from blank sky near 4U 1344 − 60. Dashed, dot-dashed, and dotted lines represent the components of the Local Hot Bubble, the Galactic halo, and the CXB, respectively.

Current usage metrics show cumulative count of Article Views (full-text article views including HTML views, PDF and ePub downloads, according to the available data) and Abstracts Views on Vision4Press platform.

Data correspond to usage on the plateform after 2015. The current usage metrics is available 48-96 hours after online publication and is updated daily on week days.

Initial download of the metrics may take a while.