Free Access

Fig. 2

thumbnail

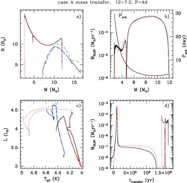
Case A mass transfer. The initial binary parameters are Md = 12   M (VUB solid black and ULB red dotted lines), Md = 7.2   M (VUB short dashed green and ULB long-dashed blue line) and P = 4d. The figure shows the evolution as a function of stellar mass of the stellar radius a), the mass transfer rate (b), left axis) and period (b), right axis), the evolutionary path in the HRD of the binary system c) and the time evolution of the mass transfer rate d). In panel d) the transfer time ttransfer is defined as t − 18.4 Myr for the VUB model and t − 29.3 Myr in our case. The final masses are 2.66 M and 16.54 M.

Current usage metrics show cumulative count of Article Views (full-text article views including HTML views, PDF and ePub downloads, according to the available data) and Abstracts Views on Vision4Press platform.

Data correspond to usage on the plateform after 2015. The current usage metrics is available 48-96 hours after online publication and is updated daily on week days.

Initial download of the metrics may take a while.