Free Access

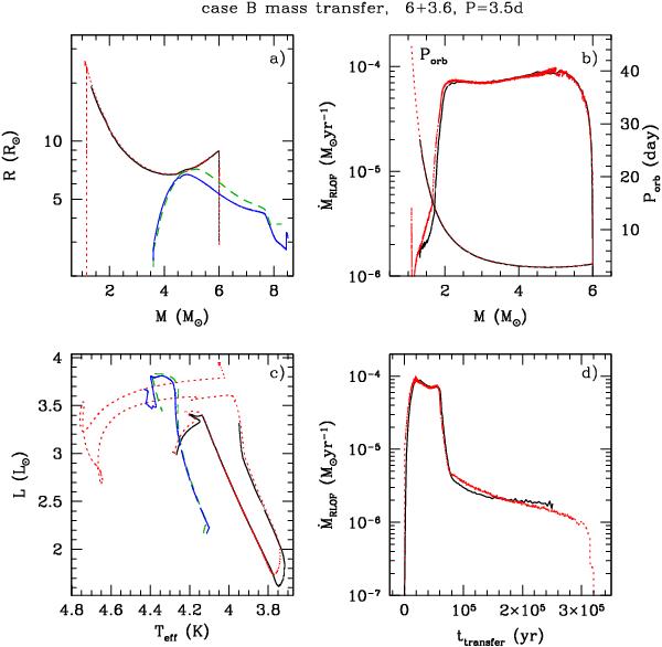
Fig. 3

thumbnail

Similar to Fig. 2 but for Case B mass transfer. The initial binary parameters are Md = 6   M (VUB solid black and ULB red dotted lines), Md = 3.6   M (VUB short dashed green and ULB long-dashed blue line) and P = 3.5 d. In panel d), ttransfer is defined as t − 75.1 Myr for the VUB model and t − 65.2 Myr in our case. The final masses are 0.86 M and 8.73 M.

Current usage metrics show cumulative count of Article Views (full-text article views including HTML views, PDF and ePub downloads, according to the available data) and Abstracts Views on Vision4Press platform.

Data correspond to usage on the plateform after 2015. The current usage metrics is available 48-96 hours after online publication and is updated daily on week days.

Initial download of the metrics may take a while.