Free Access

Fig. 4

thumbnail

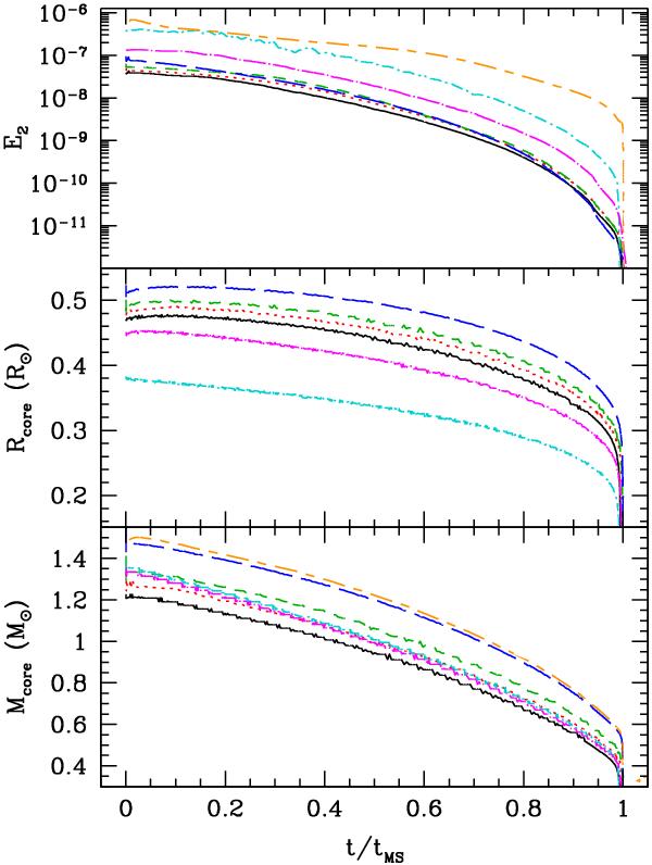
Dependence of the tidal torque constant E2 on the input physics for a 5 M model. The solid (black) line corresponds to our standard Z = 0.02 model, the red-dotted, green-dashed and blue-long-dashed curves refer to the overshooting models with parameters α = 0.05, 0.1 and 0.2, respectively. For illustration, we also plot the 5 M, Z = 0.0001 (cyan-dot–short-dashed line), Z = 0.004 (magenta-dot-long-dashed line) models with no core overshooting as well as the result of Claret (2004) for M = 5 M, Z = 0.02 (orange, short-long-dashed). The mid and bottom panel display the evolution of radius and mass of the convective core for these models.

Current usage metrics show cumulative count of Article Views (full-text article views including HTML views, PDF and ePub downloads, according to the available data) and Abstracts Views on Vision4Press platform.

Data correspond to usage on the plateform after 2015. The current usage metrics is available 48-96 hours after online publication and is updated daily on week days.

Initial download of the metrics may take a while.