Free Access

Fig. 2

thumbnail

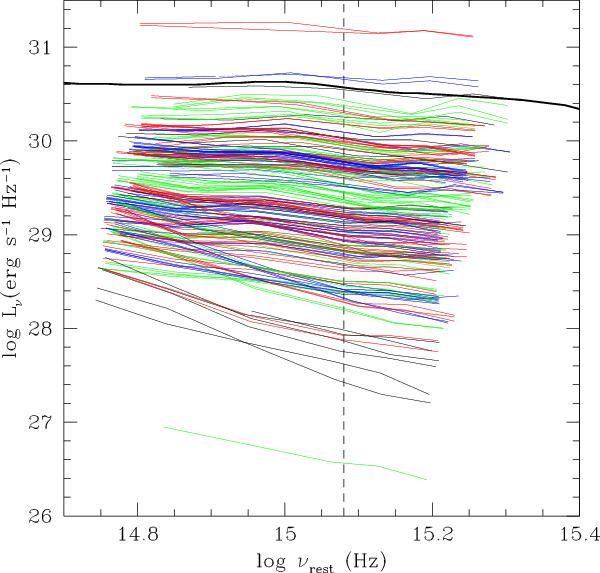
Spectral energy distributions from the available UVOT data. Black lines refer to sources with data at a single epoch, while coloured lines refer to multi-epoch sources. Data from the same source are plotted with the same colour, but more sources are represented with the same colour. The continuous curve that covers the whole range of the plot is the average SED computed by Richards et al. (2006) for type 1 quasars from the SDSS.

Current usage metrics show cumulative count of Article Views (full-text article views including HTML views, PDF and ePub downloads, according to the available data) and Abstracts Views on Vision4Press platform.

Data correspond to usage on the plateform after 2015. The current usage metrics is available 48-96 hours after online publication and is updated daily on week days.

Initial download of the metrics may take a while.