Free Access

Fig. 11

thumbnail

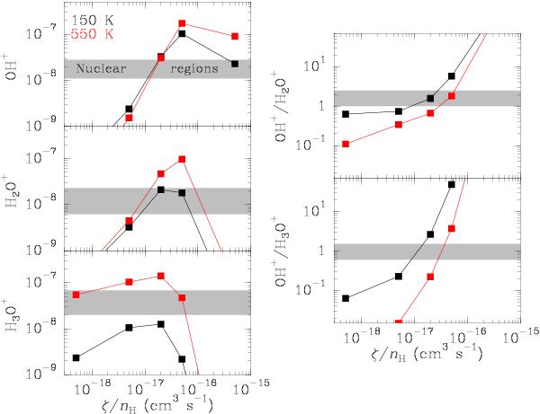
Predicted OH+, H2O+, and H3O+ abundances (left panels) and OH+/H2O+ and OH+/H3O+ abundance ratios (right panels) as a function of ζ/nH. In all these models, the molecular fraction is given by the maximum value in Eq. (2). Gas temperatures of 150 K (black) and 550 K (red) are assumed. The ranges derived from the observations and models for the nuclear regions of NGC 4418 and Arp 220 are indicated by the shaded regions.

Current usage metrics show cumulative count of Article Views (full-text article views including HTML views, PDF and ePub downloads, according to the available data) and Abstracts Views on Vision4Press platform.

Data correspond to usage on the plateform after 2015. The current usage metrics is available 48-96 hours after online publication and is updated daily on week days.

Initial download of the metrics may take a while.