Free Access

Fig. 9

thumbnail

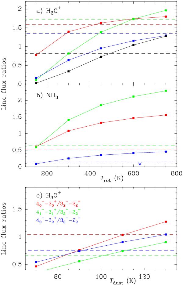
Model results for H3O+ and NH3 in Arp 220. a) Ratios of pure inversion metastable lines of H3O+ versus Trot : K = 6/K = 4 (red), K = 8/K = 4 (blue), K = 9/K = 4 (green), and K = 10/K = 4 (black). b) For NH3, the fluxes of the (red), (green), and (blue) are normalized to the flux of the 124.9 μm feature (composed of the 40−30 and NH3 lines, Paper I). c) Ratios of rotation-inversion lines of H3O+ as a function of Tdust . Dashed lines in all panels indicate the measured values, with typical uncertainties of 20%.

Current usage metrics show cumulative count of Article Views (full-text article views including HTML views, PDF and ePub downloads, according to the available data) and Abstracts Views on Vision4Press platform.

Data correspond to usage on the plateform after 2015. The current usage metrics is available 48-96 hours after online publication and is updated daily on week days.

Initial download of the metrics may take a while.