Free Access

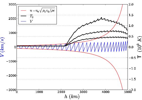
Fig. 4

thumbnail

Propagation and amplification of a 100 kms-1 or M = 0.01 perturbation in the planar density gradient. In blue the velocity from the numerical simulation, compared to the amplification of Eq. (2) in the absence of dissipation. They separate when the shocks kinetic energy is dissipated. This is stressed by the temperature at three subsequent times plotted in black.

Current usage metrics show cumulative count of Article Views (full-text article views including HTML views, PDF and ePub downloads, according to the available data) and Abstracts Views on Vision4Press platform.

Data correspond to usage on the plateform after 2015. The current usage metrics is available 48-96 hours after online publication and is updated daily on week days.

Initial download of the metrics may take a while.