Free Access

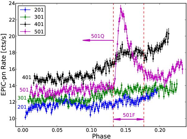
Fig. 1

thumbnail

EPIC-pn light curves during the four consecutive EI Eri rotation orbits, indicated by sequential ID numbers. The time axis has been folded to represent the rotation phase within the 1.95 days period of EI Eri.

Current usage metrics show cumulative count of Article Views (full-text article views including HTML views, PDF and ePub downloads, according to the available data) and Abstracts Views on Vision4Press platform.

Data correspond to usage on the plateform after 2015. The current usage metrics is available 48-96 hours after online publication and is updated daily on week days.

Initial download of the metrics may take a while.