Free Access

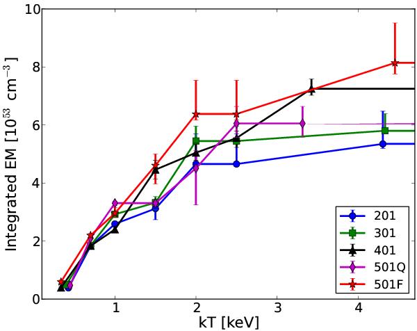
Fig. 3

thumbnail

Cumulatively integrated emission measure distribution IEM calculated from the EMDs of Fig. 2. Errors take the degeneracy between the different temperature components of the models into account.

Current usage metrics show cumulative count of Article Views (full-text article views including HTML views, PDF and ePub downloads, according to the available data) and Abstracts Views on Vision4Press platform.

Data correspond to usage on the plateform after 2015. The current usage metrics is available 48-96 hours after online publication and is updated daily on week days.

Initial download of the metrics may take a while.