Open Access

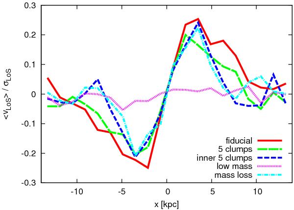
Fig. 9

thumbnail

Profiles of mean LoS velocities over dispersions of the halo systems along the disk planes. The LoS dispersion is computed in each bin, not in the central region. The red solid line indicates the results of Sect. 3.1; the green long-dashed and the blue short-dashed lines indicate the cases of 5 clumps with separations of 2 kpc and 1 kpc, respectively, in Sect. 3.2; the pink dotted line indicates the result of Sect. 3.3; the light blue dot-dashed lines indicates the results of Sect. 3.4.

Current usage metrics show cumulative count of Article Views (full-text article views including HTML views, PDF and ePub downloads, according to the available data) and Abstracts Views on Vision4Press platform.

Data correspond to usage on the plateform after 2015. The current usage metrics is available 48-96 hours after online publication and is updated daily on week days.

Initial download of the metrics may take a while.