Free Access

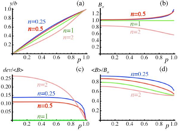
Fig. 4

thumbnail

a) Dependence of the true impact parameter, y/b, b) the fitted Lundquist field strength on the axis, B0, c) the normalized deviation, dev/ ⟨B⟩, and d) the mean field magnitude ⟨ B⟩ normalized to B0 in function of the impact parameter, p, found by fitting the Lundquist field to the models. The parameter n describes the profile of the axial component of the magnetic field and electric current, see Eqs. (4), (5).

Current usage metrics show cumulative count of Article Views (full-text article views including HTML views, PDF and ePub downloads, according to the available data) and Abstracts Views on Vision4Press platform.

Data correspond to usage on the plateform after 2015. The current usage metrics is available 48-96 hours after online publication and is updated daily on week days.

Initial download of the metrics may take a while.