Free Access

Fig. 5

thumbnail

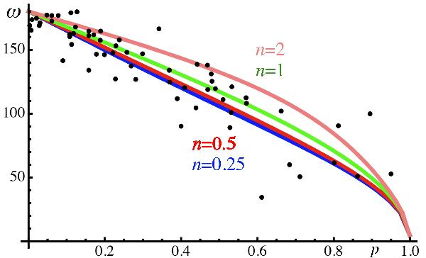
Dependence of the rotation angle, ω, of the magnetic field component orthogonal to the axis in function of the impact parameter, p, found by fitting the Lundquist field to circular models (Eqs. (3), (4)). The dots are the results obtained by Lepping & Wu (2010) for 65 MCs (see their Fig. 3B).

Current usage metrics show cumulative count of Article Views (full-text article views including HTML views, PDF and ePub downloads, according to the available data) and Abstracts Views on Vision4Press platform.

Data correspond to usage on the plateform after 2015. The current usage metrics is available 48-96 hours after online publication and is updated daily on week days.

Initial download of the metrics may take a while.