Free Access

Fig. 8

thumbnail

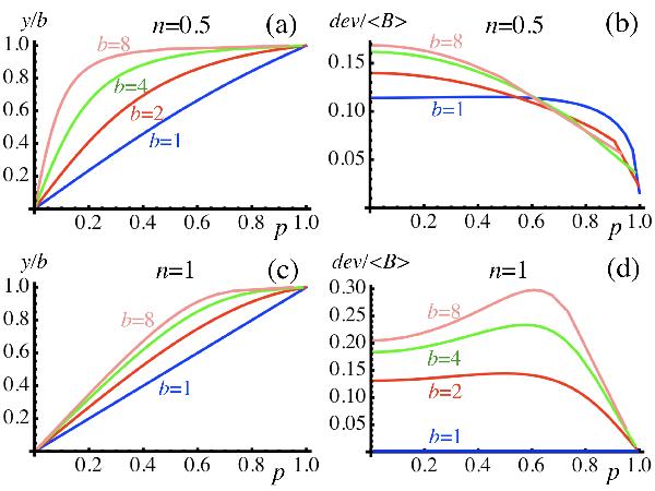
Dependence of the true impact parameter, y/b, and of the normalized deviation, dev/ ⟨B⟩ in function of the fitted impact parameter p, found by fitting the Lundquist field to elliptical boundary models. The parameter n describes the profile of the axial current (Eqs. (3), (4)).

Current usage metrics show cumulative count of Article Views (full-text article views including HTML views, PDF and ePub downloads, according to the available data) and Abstracts Views on Vision4Press platform.

Data correspond to usage on the plateform after 2015. The current usage metrics is available 48-96 hours after online publication and is updated daily on week days.

Initial download of the metrics may take a while.