Free Access

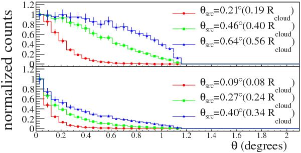
Fig. 7

thumbnail

Profiles of the photon count, normalized to the respective maximum. Here we show the example of impulsive (top) and continuous (bottom) acceleration, D10 = 1026 cm2 s-1, at an accelerator age of, from bottom to top, 103 (red), 104 years (green), and 105 years (blue). Error bars are set to 10% of the count number, to mimic the expected error on the effective area for the array used in the counts determination.

Current usage metrics show cumulative count of Article Views (full-text article views including HTML views, PDF and ePub downloads, according to the available data) and Abstracts Views on Vision4Press platform.

Data correspond to usage on the plateform after 2015. The current usage metrics is available 48-96 hours after online publication and is updated daily on week days.

Initial download of the metrics may take a while.