Free Access

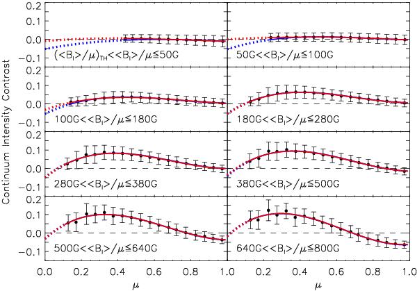
Fig. 7

thumbnail

CLV of continuum intensity contrast, CIC over eight ⟨Bl⟩/μ intervals. The filled circles and error bars represent the mean and standard deviation of CIC grouped by μ in bins 0.05 wide. The red curves are third-order polynomial fits to the filled circles and the blue curves are the cross-sections of the surface fit to CIC at the mean ⟨Bl⟩/μ within each interval (largely hidden due to the close agreement), extrapolated to μ = 0 (dotted segments). The horizontal dashed lines denote the mean quiet Sun level.

Current usage metrics show cumulative count of Article Views (full-text article views including HTML views, PDF and ePub downloads, according to the available data) and Abstracts Views on Vision4Press platform.

Data correspond to usage on the plateform after 2015. The current usage metrics is available 48-96 hours after online publication and is updated daily on week days.

Initial download of the metrics may take a while.