Free Access

Fig. 9

thumbnail

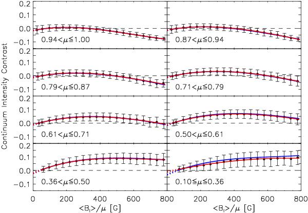
Continuum intensity contrast, CIC as a function of ⟨Bl⟩/μ over eight μ intervals. The filled circles and error bars represent the mean and standard deviation of CIC grouped by ⟨Bl⟩/μ in 40G bins. The red and blue curves and the horizontal dashed lines have the same meanings as in Fig. 7.

Current usage metrics show cumulative count of Article Views (full-text article views including HTML views, PDF and ePub downloads, according to the available data) and Abstracts Views on Vision4Press platform.

Data correspond to usage on the plateform after 2015. The current usage metrics is available 48-96 hours after online publication and is updated daily on week days.

Initial download of the metrics may take a while.