Free Access

Fig. 10

thumbnail

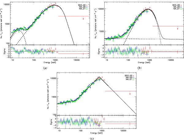
Spectral fits applied to the the time interval of T0+9.7 – T0+10.6 s for GRB 090902B. Fits performed to decribe the data include; a) a Band + blackbody fit, b) Band + power-law fit and c) a double broken power-law fit with parameters of keV, keV, Index1 = , Index2 = , Index3 = (see Fig. 8 for description of parameters). A lightcurve is shown in Fig. 6c.

Current usage metrics show cumulative count of Article Views (full-text article views including HTML views, PDF and ePub downloads, according to the available data) and Abstracts Views on Vision4Press platform.

Data correspond to usage on the plateform after 2015. The current usage metrics is available 48-96 hours after online publication and is updated daily on week days.

Initial download of the metrics may take a while.