Free Access

Fig. 3

thumbnail

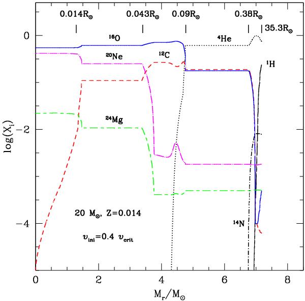
Variation of the abundances in mass fraction inside our 20 M model at the end of the core carbon-burning stage. At the top, we indicate the radius in solar units of selected shells inside the star.

Current usage metrics show cumulative count of Article Views (full-text article views including HTML views, PDF and ePub downloads, according to the available data) and Abstracts Views on Vision4Press platform.

Data correspond to usage on the plateform after 2015. The current usage metrics is available 48-96 hours after online publication and is updated daily on week days.

Initial download of the metrics may take a while.