Free Access

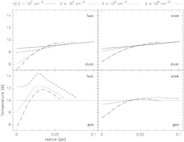
Fig. 4

thumbnail

Evolution of the dust (top row) and gas (bottom row) temperatures with time for the slow (right-hand side) and fast (left-hand side) models. The results are traced for the same density profiles as those in Fig. 2. The above-mentioned values indicate the peak central densities.

Current usage metrics show cumulative count of Article Views (full-text article views including HTML views, PDF and ePub downloads, according to the available data) and Abstracts Views on Vision4Press platform.

Data correspond to usage on the plateform after 2015. The current usage metrics is available 48-96 hours after online publication and is updated daily on week days.

Initial download of the metrics may take a while.