Free Access

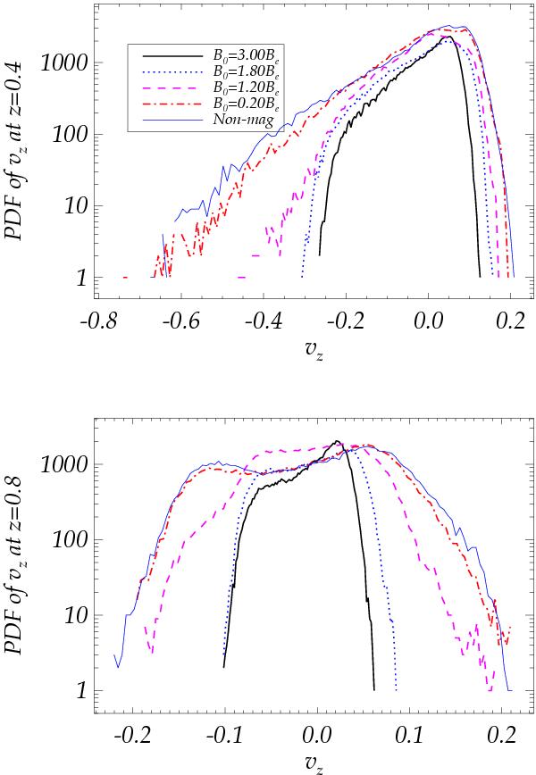
Fig. 10

thumbnail

PDFs for the distribution of vertical velocity, i.e.,vz, at z = 0.8 and z = 0.4 for various imposed vertical magnetic field strengths as indicated inside the labels: totally suppressed field (thick black solid), SSC (blue dotted), FXS (magenta dashed), and GRC (red dash dot). The blue solid thin is the PDF of the unmagnetized case.

Current usage metrics show cumulative count of Article Views (full-text article views including HTML views, PDF and ePub downloads, according to the available data) and Abstracts Views on Vision4Press platform.

Data correspond to usage on the plateform after 2015. The current usage metrics is available 48-96 hours after online publication and is updated daily on week days.

Initial download of the metrics may take a while.