Free Access

Fig. 11

thumbnail

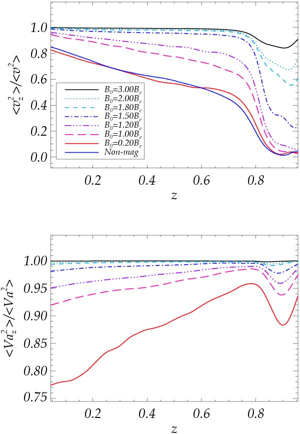
Vertical anisotropy of the velocity field (upper panel) and magnetic field (in Alfvénic units, lower panel), for cases A (thin black solid), B (green dotted), D (cyan dashed), E (blue dash-dot), F (purple dash–3dot), G (magenta long dashes), and H (red solid). z is the height from bottom, and ⟨ ... ⟩ represents horizontal average.

Current usage metrics show cumulative count of Article Views (full-text article views including HTML views, PDF and ePub downloads, according to the available data) and Abstracts Views on Vision4Press platform.

Data correspond to usage on the plateform after 2015. The current usage metrics is available 48-96 hours after online publication and is updated daily on week days.

Initial download of the metrics may take a while.