Free Access

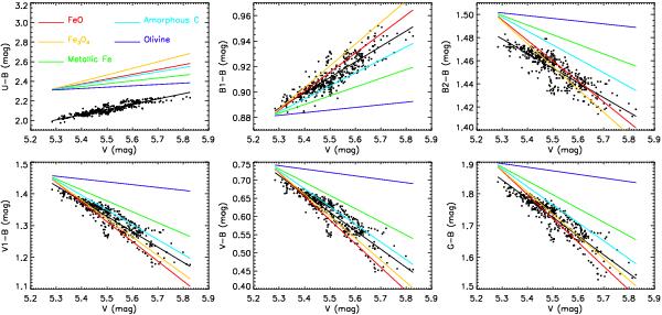
Fig. 3

thumbnail

Six independent Geneva color–magnitude diagrams of HR 4049. The linear-regression fit to the data is shown in black. The other curves show the color/magnitudes of the Kurucz model, reddened with the interstellar extinction law of Cardelli et al. (1989, foreground extinction) and with different dust species with a grain size of 0.01 μm and an appropriate range of column densities (variable circumstellar extinction). The grain shape distribution is DHS with fmax = 0.8, except for amorphous carbon (Mie, i.e., DHS with fmax = 0). Top left panel: the discrepancy between the observed and the modeled U − B color may be due to a UV-excess in the binary system.

Current usage metrics show cumulative count of Article Views (full-text article views including HTML views, PDF and ePub downloads, according to the available data) and Abstracts Views on Vision4Press platform.

Data correspond to usage on the plateform after 2015. The current usage metrics is available 48-96 hours after online publication and is updated daily on week days.

Initial download of the metrics may take a while.