Free Access

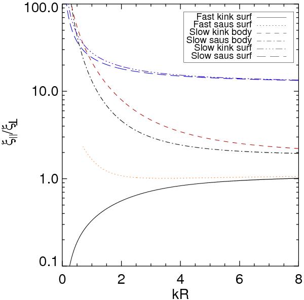
Fig. 5

thumbnail

Magnitude of the longitudinal displacement ξ divided by the magnitude of the transverse displacement ξ at the flux-tube boundary as a function of kR for the different wave modes in the photosphere.

Current usage metrics show cumulative count of Article Views (full-text article views including HTML views, PDF and ePub downloads, according to the available data) and Abstracts Views on Vision4Press platform.

Data correspond to usage on the plateform after 2015. The current usage metrics is available 48-96 hours after online publication and is updated daily on week days.

Initial download of the metrics may take a while.