Free Access

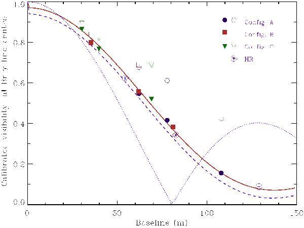
Fig. 7

thumbnail

Observed and corrected visibilities at Brγ line centre. Open symbols are MR data uncorrected for spectral smearing, filled symbols are the same data points corrected for resolution. The three open circles with central dots are the high resolution observations. These data are re-derived assuming a 2.9% contribution by dust within the AMBER field of view at line centre. The corrected MR visibilities agree very well with the HR observations. The full line represents visibilities from a model which includes a ring shaped ionised wind with diameter of 4.18 mas contributing 58% to the total flux at line-centre (see text). The dashed line is the model from D09. Finally, to illustrate the the transition from first to second lobe at 80 m, the dotted line is the the visibility function for a single ring with a diameter of 4.18 mas.

Current usage metrics show cumulative count of Article Views (full-text article views including HTML views, PDF and ePub downloads, according to the available data) and Abstracts Views on Vision4Press platform.

Data correspond to usage on the plateform after 2015. The current usage metrics is available 48-96 hours after online publication and is updated daily on week days.

Initial download of the metrics may take a while.