Free Access

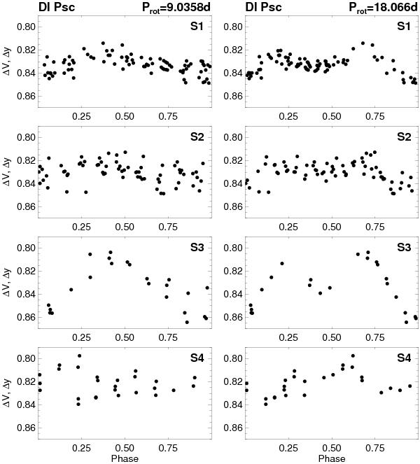
Fig. 3

thumbnail

Folded light curves of DI Psc for four observing runs between HJD 2 451 098.7 and HJD 2451825.8 (S1-S4 from top to bottom panels, respectively), assuming rotation period of either 9.0358 d (left panels) or 18.066 d (right panels), according to the power spectrum in Fig. 2 bottom. Note that using 18.066 d yields less scattered light curves. For a quantitative comparison see Sect. 3.2.

Current usage metrics show cumulative count of Article Views (full-text article views including HTML views, PDF and ePub downloads, according to the available data) and Abstracts Views on Vision4Press platform.

Data correspond to usage on the plateform after 2015. The current usage metrics is available 48-96 hours after online publication and is updated daily on week days.

Initial download of the metrics may take a while.