Free Access

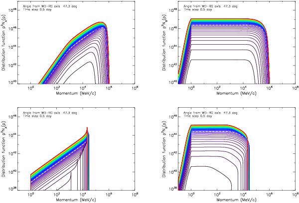
Fig. 2

thumbnail

Time evolution of the proton and electron distributions (top and bottom row, respectively) in the acceleration zone and cooling zone (left and right column, respectively). The results correspond to the base case scenario with energy losses, a propagation angle of 47.3° from the WD-RG axis, and injection fractions of ηinj,p = 10-3 and ηinj,e = 10-5. Curves from black to red show successive time steps of 0.5 day. The dashed curve in each plot marks the ED to ST transition.

Current usage metrics show cumulative count of Article Views (full-text article views including HTML views, PDF and ePub downloads, according to the available data) and Abstracts Views on Vision4Press platform.

Data correspond to usage on the plateform after 2015. The current usage metrics is available 48-96 hours after online publication and is updated daily on week days.

Initial download of the metrics may take a while.