Free Access

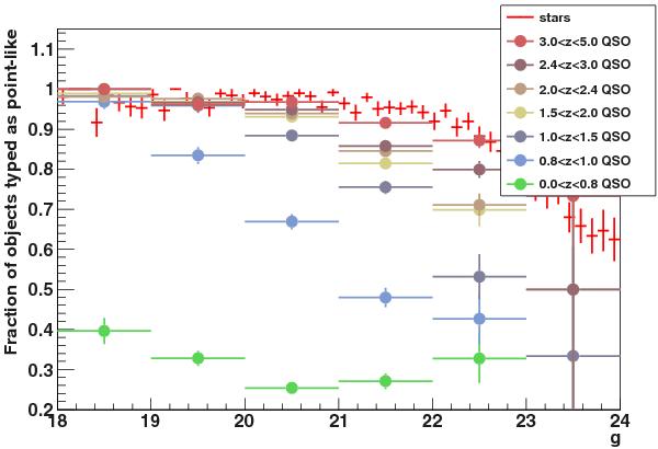
Fig. 4

thumbnail

Fraction of known quasars identified as point-like in co-added images, as a function of magnitude, for several bins in redshift (rising redshift from bottom to top). The asymptotic red histogram is the fraction of stars that are identified as point-like.

Current usage metrics show cumulative count of Article Views (full-text article views including HTML views, PDF and ePub downloads, according to the available data) and Abstracts Views on Vision4Press platform.

Data correspond to usage on the plateform after 2015. The current usage metrics is available 48-96 hours after online publication and is updated daily on week days.

Initial download of the metrics may take a while.