Free Access

Fig. 3

thumbnail

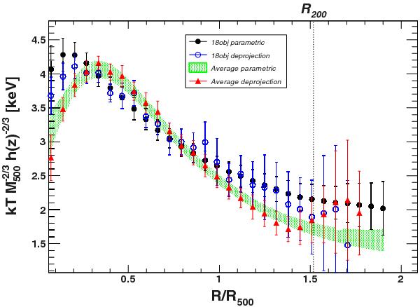
Average self-similar scaled median temperature profile obtained over 18 individual objects compared to the profile derived by combining the universal pressure profile from P13 and the median gas density profile from E12. In both cases, we show the comparison between the profile obtained using the functional form for the gas density (Eq. (8)), with MCMC error bars, and using non-parametric deprojection.

Current usage metrics show cumulative count of Article Views (full-text article views including HTML views, PDF and ePub downloads, according to the available data) and Abstracts Views on Vision4Press platform.

Data correspond to usage on the plateform after 2015. The current usage metrics is available 48-96 hours after online publication and is updated daily on week days.

Initial download of the metrics may take a while.